Реферат: Механизмы передвижения подъемно-транспортных машин
При использовании приводных конических колес колесо отстающей стороны моста крана опирается на рельс окружностью большего диаметра. При одинаковой скорости вращения приводных конических колес отстающая сторона крана начинает передвигаться с более высокой скоростью и кран автоматически выравнивается на рельсах. Коническая поверхность катания целесообразна только для приводных колес четырехколесного мостового крана без балансиров, имеющего центральный привод. Хотя у конических приводных колес реборды в работе практически не участвуют, их наличие способствует предотвращению случайного схода крана с рельсов. Неприводные колеса изготовляют всегда цилиндрическими.
Размеры ободьев крановых колес выбираются по ГОСТ 3569—60. Для ходовых колес необходимо обеспечить чистоту обработки поверхности катания вместе с внутренними частями реборд не ниже 5-го класса, а точность изготовления по диаметру катания не ниже С4. С целью компенсации неточностей укладки крановых рельсов и установки ходовых колес ширина рабочей части их ободьев принимается больше ширины головки рельса: для двухребордных цилиндрических — на 30 мм и конических — на 40 мм, для колес тележек — 15—20 мм, для одноребордных колес — на 30 мм.
Крановые ходовые колеса испытывают значительные нагрузки и являются быстроизнашиваемыми деталями, поэтому для обеспечения необходимой долговечности они изготовляются коваными из высокоуглеродистой стали. Поверхность катания колес должна быть подвергнута термообработке — закалке до твердости НВ 300—350 на глубину не менее 15 мм с постепенным переходом к незакаленному слою.
Ходовые колеса из чугунного литья по качеству не ниже марки СЧ15-32 допускается применять только на кранах с ручным приводом. Колеса больших диаметров для экономии дорогостоящих материалов рекомендуется изготовлять сборными, состоящими из ступицы, отлитой из низкоуглеродистой стали, и бандажа из качественной стали, надетого с натягом при нагреве.
Одноребордные конические (рис. 10, а) и бочкообразные (10, б) колеса применяются на подвесных однорельсовых тележках. При качении конического колеса подвесной тележки происходит неизбежное его проскальзывание по наклонным боковым дорожкам нижнего пояса ездовой балки. Это проскальзывание является результатом различия в величине окружных скоростей конической поверхности качения колеса на линии контакта, из-за чего наблюдается повышенный износ и колес, и полок ездовой балки. Бочкообразные колеса, не обладая этим недостатком, менее чувствительны к перекосам рамы тележки.
В кранах применяется несколько способов установки ходовых колес. Наиболее распространен монтаж приводных ходовых колес на отдельных валах, а неприводных — на отдельных вращающихся осях. Корпуса подшипников изготовляются в виде отъемных или разъемных букс, которые на тележке крепятся к раме, а на мостах — к концевым балкам или балансирам. Применение отдельных валов и вращающихся осей, а также отъемных или разъемных букс намного упрощает сборку, разборку и смену элементов ходовой части. На рис. 11 показаны приводное и неприводное ходовые колеса с отъемными буксами, установленные на роликовых подшипниках.
Для уменьшения сопротивления движению, повышения надежности и удобства эксплуатации ходовые колеса тележек и мостов кранов устанавливаются на подшипниках качения и значительно реже — на подшипниках скольжения. По действующему стандарту на ходовые колеса наибольший диаметр поверхности катания ходового колеса не должен превышать 1000 мм.
Размеры ходовых колес предопределяют их несущую способность и величину наибольшей допускаемой нагрузки, которую они могут передать на рельсы. Поэтому установка тележек и мостов на четыре ходовых колеса возможна только для кранов малой грузоподъемности до 50 Т. Для кранов грузоподъемностью 75—125 Т мост имеет 8 ходовых колес, а при грузоподъемности 150 Т и выше — 16 ходовых колес. У тяжелых портальных кранов общее число ходовых колес достигает 32 и даже 40. Тележки кранов делают на 4 и 8 колесах, а при значительной грузоподъемности — на 16 колесах. Установка мостов и тележек на 8, 16 и на большем числе ходовых колес усложняет конструкцию ходовой части.
Необходимость обеспечения равномерного распределения нагрузки между колесами заставляет применять уравновешивающие балансиры, использование которых приводит к увеличению габаритной высоты концевой балки моста и уменьшению ее горизонтальной жесткости. В основу таких конструкций (рис. 12) положены унифицированные двухколесные тележки — балансиры со съемными буксами. Шестнадцатиколесный кран имеет два главных 1 и четыре малых 2 балансира. Число приводных колес принимается равным 1, 1/2 или 1/4 от общего числа ходовых колес. Привод механизма передвижения должен при этом обеспечить синхронное вращение одной, двух или четырех (редко) пар приводных ходовых колес. Он может состоять из нескольких механизмов с центральным или с раздельным приводом.
Рельсы. Для кранов применяются различные типы рельсов. В качестве подкрановых и подтележечных рельсов используются: железнодорожные рельсы широкой и узкой колеи, специальные крановые рельсы, горячекатаная квадратная и прокатная полосовая сталь. Железнодорожные и крановые рельсы изготовляются из высокоуглеродистой стали и имеют скругленную головку. Крановые рельсы имеют стенку повышенной толщины и более широкую опорную плоскость, благодаря чему обеспечивается равномерная передача давления колес на верхний пояс подкрановой балки.
Выбор типа рельса зависит от режима работы крана, от типа и величины давления ходовых колес. Использование конических колес предопределяет установку рельсов со скругленными головками. Для цилиндрических колес основными типами являются железнодорожные и крановые рельсы. Рельсы из квадратной и полосовой стали применяют для кранов сравнительно небольшой грузоподъемности и при отсутствии специальных рельсов. Железнодорожные, козловые, портальные и велосипедные краны передвигаются главным образом по железнодорожным рельсам.
Рельсы крепят к подкрановым балкам или укладывают по типу железнодорожных путей па специальные основания. Существует два способа крепления рельсов: неподвижное и подвижное. Неподвижное крепление рельса к подкрановой балке, выполняемое при помощи сварки, допустимо для кранов с легким режимом работы. Основным рекомендуемым способом крепления считается подвижное. Это крепление позволяет осуществлять рихтовку (выравнивание) пути и обеспечивает удобную и сравнительно простую замену изношенных рельсов. Некоторые из способов крепления подкрановых рельсов приведены на рис. 13. Железнодорожные рельсы часто закрепляют на подкрановой балке парными тяжами диаметром 22—25 мм (рис. 13, а), а специальные подкрановые рельсы — боковыми накладками (рис. 13, б). Парные тяжи и боковые накладки устанавливают с шагом, равным 600—700 мм. Рельсы прямоугольного и квадратного профилей могут прикрепляться к балкам при помощи планок, вставляемых в пазы бруса (рис. 13, в).
Расчет ходовых колес. Расчет ходовых колес заключается в проверке выбранных размеров (диаметра и ширины) поверхности катания обода колеса по величине напряжения смятия в месте его контакта с рельсом от максимально возможного давления ходового колеса на рельс. Тележки и мосты кранов, за исключением трехопорных конструкций, представляют собой четырехопорные один раз статически неопределимые системы. Для упрощения задачи с допустимым для практики приближением рама тележки и мост крана рассматриваются в виде статически определимых систем. Упрощенные статически определимые многоопорные системы имеют геометрическую и статическую симметрию 'и решаются методами простых разложений вертикальных сил или моментов. Максимальная нагрузка на рельс рассчитывается для колеса, относительно которого груз, тележка с грузом или стрела с грузом могут иметь наиболее невыгодное положение. Если тележка или мост крана опираются не на четыре, а на большее число колес при помощи уравновешивающих балансиров, то величина наибольшей нагрузки на колесо уменьшается и становится равной:
![]()
где
—
наибольшая нагрузка, приходящаяся па одну из четырех балансирных опор тележки
или крана;
— число ходовых
колес в балансирной опоре.
Приведенные ниже зависимости для максимальных давлений на рельсы получены без учета качества изготовления и монтажа рам тележек или металлоконструкций мостов кранов, их упругости, а также упругости и состояния рельсовых путей.
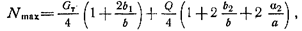
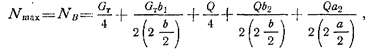
Давление на опоры тележки. На рис. 14 дана одна из возможных расчетных схем вертикальных давлений для четырехопорной тележки. Анализ этой схемы позволяет установить, что колесо В воздействует на рельс с наибольшей нагрузкой. В соответствии с принятым допущением:
| откуда |
![]()
![]()
где
—
вес тележки с ходовой частью и всеми механизмами;
Q — вес груза;
,
,
— расстояния от центра симметрии рамы тележки О до ее
центра тяжести
и центра
приложения веса груза
; a — ширина колеи ходовых колес; b — база
ходовых колес.
Страницы: 1, 2, 3, 4, 5, 6, 7, 8, 9


