Реферат: Молекулярно кинетическая теория
Установлено, что в 1 см3 любого газа при нормальных условиях (т.е. при 00С и давлении 760 мм. рт. ст.) содержится 2,71019 молекул.
Если взять число кирпичей, равное этому числу, то, будучи плотно уложенными эти кирпичи покрыли бы поверхность всей суши Земного шара слоем высотой 120 м. Кинетическая теория газов позволяет вычислить лишь длину свободного пробега молекулы газа (т.е. среднее расстояние, которое проходит молекула от столкновения до столкновения с другими молекулами) и диаметр молекулы.
Приводим некоторые результаты этих вычислений.
| Вещество |
Длина свободного пробега При 760 мм.рт.ст. |
Диаметр молекулы |
|
Водород Н2 |
1,12310-5 см |
2,310-8 см |
|
Кислород О2 |
0,64710-5 см |
2,910-8 см |
|
Азот N2 |
0,59910-5 см |
3,110-8 см |
Диаметры отдельных
молекул - величины малые. При увеличении в миллион раз молекулы были бы
величиной с точку типографского шрифта этой книжки. Обозначим через m -
массу газа (любого вещества). Тогда отношение
дает число молей газа.
Число молекул газа n можно выразить:
. (1) Число молекул в единице объема n0 будет равно:
, (2) где: V - объем газа.
Массу одной молекулы m0 можно определить по формуле:
. (3)
Относительной массой молекулы mотн называется величина, равная отношению абсолютной массы молекулы m0 к 1/12 массы атома углерода moc.
, (4) moc = 210-26
кг.
3.Микро- и макропараметры системы
Рассмотрим систему, состоящую из очень большого числа молекул n. Например, такой системой может быть газ.
В данный момент времени каждая молекула газа имеет свою энергию, скорость, направление движения, определенную массу и размеры. Величины, которые определяют поведение одной частицы в системе, носят название микропараметров. Микропараметры одной частицы могут меняться без внешних воздействий на систему. Например, скорости молекул газа могут непрерывно изменяться за счет столкновений между ними.
Величины, которые изменяются за счет внешних воздействий на систему, называются макропараметрами. К ним относятся: объем V, давление Р, температура Т.
Объем V - это область пространства, занимаемая телом. В Си измеряется в м3. 1 л = 10-3 м3.
Давление
Р - скалярная
физическая величина, характеризующая распределение силы по поверхности и равная
проекции силы на направление нормали к площадке, на которую сила действует, и
отнесенная к единице этой площади. При равномерном распределении силы F по плоской поверхности площадью S
давление равно
, где Fn - проекция
силы F на нормаль к площади S. В Си единица
давления - Паскаль = Па =
. Внесистемная единица - мм.рт.ст.
Нормальное давление равно одной физической атмосфере. 1 физическая атмосфера =
1 атм = 760 мм.рт.ст, 1 техническая атмосфера = 1 ат = 736 мм.рт.ст. 1
мм.рт.ст. = 133Па
Температура
Т - параметр
состояния, характеризующий степень нагретости тела и связанный с понятием
теплового равновесия. Два тела, изолированные от окружающих тел, но имеющие
возможность обмениваться энергией друг с другом, находятся в тепловом
равновесии, если их термодинамические состояния не изменяются со временем.
Телам, находящимся в тепловом равновесии друг с другом, приписывается одна и та
же температура. Различают термодинамическую (абсолютную) температуру ТК и
температуру Цельсия t0C. Связь между ними:
. Абсолютную температуру в Си
измеряют в градусах по шкале Кельвина.
Если
два тела находятся в тепловом равновесии, то средние значения кинетической
энергии поступательного движения
частиц этих тел будут одинаковы.
Известно,
что
= 3/2 kT (для одной частицы) (5), где k -
постоянная Больцмана;
. Из формулы (5) следует:
. (6)
Таким образом, термодинамическая температура с молекулярно-кинетической точки зрения - физическая величина, характеризующая интенсивность хаотического, теплового движения всей совокупности частиц системы и пропорциональная средней кинетической энергии поступательного движения одной частицы.
Обратите внимание:
1) из
(6) следует, что при
= 0 и Т = 0;
2) температура, при которой прекращается хаотическое движение частиц тела, называется абсолютным нулем. При Т = 0 прекращается только тепловое движение. Другие (нетепловые) формы движения будут наблюдаться и при абсолютном нуле.
4.Основные уравнения молекулярно-кинетической теории идеального газа для давления
Газ называют идеальным, если:
1) собственный объем молекул газа пренебрежимо мал по сравнению с объемом сосуда;
2) между молекулами газа отсутствуют силы взаимодействия;
3) столкновения молекул газа со стенками сосуда абсолютно упругие.
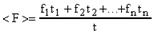
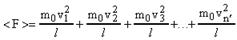
Реальные газы (например, кислород и гелий) в условиях, близких к нормальным, а также при низких давлениях и высоких температурах близки к идеальным газам. Частицы идеального газа в промежутках между столкновениями движутся равномерно и прямолинейно. Давление газа на стенки сосуда можно рассматривать как ряд быстро следующих ударов газовых молекул о стенку. Рассмотрим, как вычислить давление, вызванное отдельными ударами. Представим себе, что по некоторой поверхности происходит ряд отдельных и частых ударов. Найдем такую среднюю постоянную силу <F>, которая, действуя в течение времени t, за которое происходили отдельные удары, произведет такое же действие, как и все эти удары в своей совокупности. В таком случае импульс этой средней силы за время t должен равняться сумме импульсов всех тех ударов, которые получила поверхность за это время, т.е.
, где t1,
t2, t3 ... tn - время взаимодействия первой,
второй, ..., n-й молекул со стенкой (т.е. длительность удара); f1, f2,
f3 ... fn - силы удара молекул о стенку. Из этой формулы
следует, что
, (7)
Средняя сила давления, вызванная рядом отдельных ударов о некоторую поверхность, численно равна сумме импульсов всех ударов, полученных этой поверхностью за единицу времени.
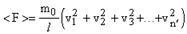
Найдем среднюю силу давления <F>, возникающую вследствие ударов газовых молекул о стенки сосуда. Имеем сосуд в форме куба (рис. 4) с длиной ребра l, в котором движется n молекул, причем масса каждой молекулы равна m0. В результате хаотического движения молекул можно утверждать, что результат их ударов о стенки будет такой же, как будто 1/3 все молекул движется вдоль оси X, ударяя в правую и левую грани, 1/3 - движется вдоль оси Y, ударяя в переднюю и заднюю грани, а 1/3 - вдоль оси Z, ударяя в верхнюю и нижнюю грани.

Рис. 4
Найдем импульс
силы, от удара одной (первой) молекулы по правой грани куба. Пусть молекула
движется со скоростью V1
вдоль оси X. При упругом ударе о грань она отталкивается с такой же по модулю
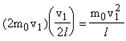
скоростью, но с обратным знаком. Импульс молекулы до удара (m0v1) , а после удара равен (-m0v1) . Изменение импульса молекулы за
один удар о грань равно (2m0v1)
. Подсчитаем число ударов, сделанных молекулой о грань за единицу времени (t =
1 с). От удара до следующего удара об одну и ту же грань молекула пролетает
вдоль оси Х расстояние, равное удвоенной длине ребра куба 2l, т.к. ей
надо пролететь до противоположной грани и вернуться обратно. За одну секунду
молекула произведет (v1/2) ударов.
Изменение импульса молекулы за все удары (за 1 сек) можно найти как
. Импульс силы
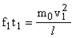
f1t1, полученный молекулой от грани за все удары в
течение секунды, равен изменению ее импульса, т.е.
. Такой же импульс получила грань
от ударов молекулы. Обозначим число молекул, движущихся вдоль оси Х, через
. Аналогично, различные молекулы,
двигаясь с другими скоростями
сообщают грани импульсы
![]()
или
. (8)


